Products
API
-

Pyrimethamine
Anti-malarial agents
It is widely used in Western countries as an active ingredient of the anti-malarial agents. We have been manufacturing it since 1966.
-

Naphazoline hydrochloride
Topical ophthalmic vasoconstrictor
It is formulated as a decongestant ingredient of eye drops and nasal drops, and is widely used to vulnerary etc. We have been manufacturing it since 1965. Currently, we are the only supplier in Japan.
-

Alprostadil
vasodilator (PG type)
API of injectable solution for skin ulcer in chronic arterial occlusion and diabetes. We have been manufacturing it since 1995.
-

Ufenamate
Anti-inflammatory analgesic agent for skin diseases
API of anti-inflammatory and analgesic drugs in skin disease and cosmetics. We have been manufacturing it since 1990.
-

Lornoxicam
Non-steroidal anti-inflammatory and analgesic
API of the tablet for inflammation and analgesia in rheumatoid arthritis and lumbago. We have been manufacturing it since 2003.
-

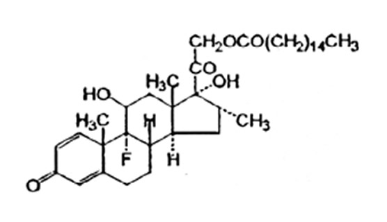
Dexamethasone Palmitate
Synthetic corticosteroids
API of injectable solution for rheumatoid arthritis. We have been manufacturing it since 1988.
Intermediate
-

3-(3,4-Dimethoxyphenyl)-2-propenoic Acid






